Voltimum Türkiye

Harmonik bozunum değeri nedir?

Yayınlandı: 4 Haziran 2016 Kategori: Teknik Makaleler

Harmonikler güç kalitesi sorunlarının başında gelir. Harmonik sorunun çözülebilmesi harmonik bozunum değerlerinin doğru ölçülmesi ve hesaplanması gerekir. Bunun için tesislerden düzenli ölçüm alınmalıdır.

Harmonik bozunum değeri nedir?

Güç elektroniği cihazları elektriksel yönden hem verimli hem de esnektirler. Fakat bu cihazlar harmoniklerle birlikte adete iki ucu keskin bıçak haline gelmiştir. Bu cihazlar sadece harmonik üretmekle kalmaz; elektromekanik yük cihazlarından çok daha fazla harmonik bozulmalarına neden olurlar.  Oysa son kullanıcılar kendilerine iletilen servisin yani elektrik enerjisinin kalitesinin artmasını isterler.

İlginizi Çekebilir: Elektrikte Harmonik Nedir

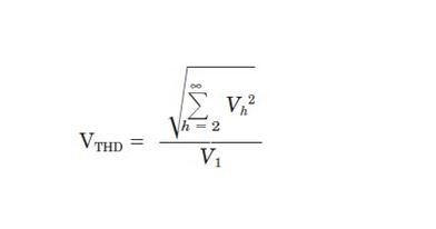
Güç kalite mühendisleri tipik olarak güç kalitesini takip etmek için periyodik olarak 3 fazın gerilimlerini ve akımlarını izler ve kayıt ederler. Bu ölçümler tipik olarak bir adet döngü içerir, fakat daha uzun örnekler interharmonikler gibi yakalamak için daha uzun örneklemeye ihtiyaç duyarlar.Güç Kalitesi monitörleri  15 ile 30 dakika aralığında binlerce ölçüm alırlar ve indeksler tarafından bunlar özetlenir. Harmonik bozulmadan başka, kaydedilmiş dalga şekilleri de steady-state (faz dengesizliği, güç faktörü, şekil faktörü tepe faktörü,)  durumu için bize bilgi verir. Aşağıdaki formüldeki gibi gerilim bozunum değeri hesaplanır.

Gerilim bozulması sabit bir değerdir. Tipik bir sistem üzerinde, harmonik bozulma günlük, aylık ve sezonluk alınır.  Aşağıdaki görselde bir hafta boyunca  günlük alınan bir toplam harmonik bozulması örneği görebilirsiniz. Bu örnek tipik evsel bir fideri temsil etmektedir; öyle ki en yüksek gecikme yükün düşük olduğu geceleri gerçekleşmektedir.

THD örneklerinin toplanmasında kolay bir metod aşağıdaki görseldeki gibi verileri bir histogram ile ifade etmektir. Bu dağılımda iki belirgin zirve vardır bu da bize çift durumlu doğal harmonik bozulma trendini  yansıtır. Bu histogram hazırlanırken, kümülative frekans eğrisi hesaplanır.  Bu tepe değer CP95 olarak bilinir. Bu örnekte gerilimin yüzde 3.17si diğer örneklerin yüzde doksan beşinden daha büyüktür. CP95 genelde dağılımın maksimum değerinden daha büyüktür. Çünkü CP95 parazit ölçümlerine daha az duyarlıdır.

3 fazlı Harmonik Gerilim Ölçümlerinin Karakteristiği

Amerika’daki çoğu dağıtım sistemi tek fazlı ve dengesiz yüklerden oluşur. Bu yüzden her bir birincil fazın harmonik içeriği genelde farklıdır. Bu da 3 fazlı sistemlerin harmonik bozulmalarını ölçülmesini bir problem hale getirir. Çünkü her fazda dengesizlik seviyesi farklıdır.  Bunun için  iki farklı metot vardır.

  1. 3 faz ölçümü ayrı ayrı düşünülür. Bu metottaki potansiyel sorun bozunum oranın belirlenmiş sınırı hangi sıklıkla aşacağıdır.
  2. Ortalama bozunum oranı 3 fazın üzerindedir. Her fazın ölçümü tekil bozunum oranındaki örneklere katkıda bulunur. Bu yöntemin dezavantajı ise faz üzerindeki yüksek bozunum oranını diğer iki fazın düşük seviyede olması durumunda belirsizleştirmesidir.
İkinci metot daha güvenlidir ve harmonik bozunum ölçümlerde kullanılır.

Mehmet Cem Ateş | Elektrik Mühendisi


content gallery 1